多端口 FDTD 电磁模拟的阻抗计算

多端口 FDTD 电磁模拟的阻抗计算

Sim4Life EM-FDTD 电磁求解器包含单端口与多端口模拟两类,本文介绍如何在多端口模拟中计算各个端口的输入阻抗(Zin),以及用鸟笼线圈双端口网络仿真为案例,说明如何从后处理接口中提取阻抗数值并比对结果。

 

首先,我们在 Sim4Life 中建立新的 EM FDTD 模拟时都会看到两个选项: 单端口(Single)和多端口(Multiport)。这两种模拟类型之间的差异如下: 

  • 具有多个源的单端口模拟: 仅运行一个模拟并且所有源同时受到激励
  • 具有多个源的多端口模拟: 将在求解器内部被划分为多个子模拟,每个子模拟中只有一个源被启动,其他端口将被指定的参考负载替换

 

当完成电磁模拟后,我们在后处理接口中的 Explorer 窗口中选择多端口模拟的父文件夹时,工具字段会显示网络分析(Network Analysis)工具。此工具可以提取与 S 参数相关的矩阵,例如散射矩阵 S(i,j)、阻抗矩阵 Z(i,j) 和导纳矩阵 Y(i,j) 等。散射 Sij(f) 矩阵可以直接从 Network Analysis 工具中提取,若要获得阻抗 Zij(f) 和导纳 Yij(f) 矩阵的信息,须再透过工具字段的 S Converter 工具进行提取。

在实务上,若有多激励源的物理模型需进行电磁仿真,其中有两个源相接,我们在模拟设定上可以将两个物理连接的源分离到各个端口。 进行这种分离后,每个端口(例如: port_1)的输入阻抗取决于另一个端口的负载条件。假设我们的设定是一个双端口网络(Two-port network),在 Sim4Life 中含双端口的多端口模拟在内部被拆分为两个子模拟,每个子模拟每次只激活一个端口,而另一个端口则以参考负载(默认为 50 奥姆)连接。   


模拟完成后,Network Analysis - S Converter 工具可以依据散射矩阵 S(i,j) 算出阻抗矩阵 Z(i,j),此矩阵包含元素 Z11、Z12、Z21、Z22 (可参考 Pozar - 微波工程第 4 版第 4.2 章)。我们可以从 port_1 子模拟中提取 port_1 的输入阻抗,称之为 Zin_p1

 

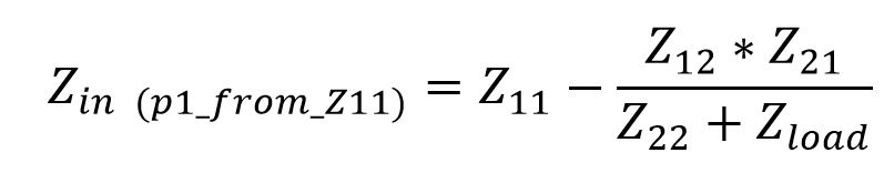
另外,也可以由 Z11 计算出 Zin,公式为

,其中 Zload 是连接到端口 2 的负载阻抗(默认为 50 奥姆)。

 

我们可以验证 Zin_p1 = Zin (p1_from_z11)。  

 

值得注意的是 Zin_p1 不等于 Z11,根据定义 Z11 是电流在 port_2 等于 0 时所计算的,而 port_1 的模拟是在 Sim4Life 中运行,port_2 接在参考负载(默认为 50 奥姆)上。

 

另一方面,对于含单端口的多端口模拟,我们能验证 Zin_p1 = Z11
 

 

CONTACT US
如果您对我们的产品服务有兴趣,欢迎直接与我们联系 !
产品介绍 学习中心 最新消息 联络我们