多端口 FDTD 電磁模擬的阻抗計算

多端口 FDTD 電磁模擬的阻抗計算

Sim4Life EM-FDTD 電磁求解器包含單端口與多端口模擬兩類,本文介紹如何在多端口模擬中計算各個端口的輸入阻抗(Zin),以及用鳥籠線圈雙端口網路模擬為案例,說明如何從後處理介面中提取阻抗數值並比對結果。

 

首先,我們在 Sim4Life 中建立新的 EM FDTD 模擬時都會看到兩個選項: 單端口(Single)和多端口(Multiport)。這兩種模擬類型之間的差異如下: 

  • 具有多個源的單端口模擬: 僅運行一個模擬並且所有源同時受到激勵
  • 具有多個源的多端口模擬: 將在求解器內部被劃分為多個子模擬,每個子模擬中只有一個源被啟動,其他端口將被指定的參考負載替換

 

當完成電磁模擬後,我們在後處理介面中的 Explorer 視窗中選擇多端口模擬的父資料夾時,工具欄位會顯示網路分析(Network Analysis)工具。此工具可以提取與 S 參數相關的矩陣,例如散射矩陣 S(i,j)、阻抗矩陣 Z(i,j) 和導納矩陣 Y(i,j) 等。散射 Sij(f) 矩陣可以直接從 Network Analysis 工具中提取,若要獲得阻抗 Zij(f) 和導納 Yij(f) 矩陣的資訊,須再透過工具欄位的 S Converter 工具進行提取。

在實務上,若有多激勵源的物理模型需進行電磁模擬,其中有兩個源相接,我們在模擬設定上可以將兩個物理連接的源分離到各個端口。 進行這種分離後,每個端口(例如: port_1)的輸入阻抗取決於另一個端口的負載條件。假設我們的設定是一個雙端口網路(Two-port network),在 Sim4Life 中含雙端口的多端口模擬在內部被拆分為兩個子模擬,每個子模擬每次只激活一個端口,而另一個端口則以參考負載(預設為 50 歐姆)連接。   


模擬完成後,Network Analysis - S Converter 工具可以依據散射矩陣 S(i,j) 算出阻抗矩陣 Z(i,j),此矩陣包含元素 Z11、Z12、Z21、Z22 (可參考 Pozar - 微波工程第 4 版第 4.2 章)。我們可以從 port_1 子模擬中提取 port_1 的輸入阻抗,稱之為 Zin_p1

 

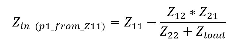
另外,也可以由 Z11 計算出 Zin,公式為

,其中 Zload 是連接到端口 2 的負載阻抗(預設為 50 歐姆)。

 

我們可以驗證 Zin_p1 = Zin (p1_from_z11)。  

 

值得注意的是 Zin_p1 不等於 Z11,根據定義 Z11 是電流在 port_2 等於 0 時所計算的,而 port_1 的模擬是在 Sim4Life 中運行,port_2 接在參考負載(預設為 50 歐姆)上。

 

另一方面,對於含單端口的多端口模擬,我們能驗證 Zin_p1 = Z11
 

 

CONTACT US
如果您對我們的產品服務有興趣,歡迎直接與我們聯繫 !
產品介紹 最新消息 聯絡我們

依據歐盟施行的個人資料保護法,我們致力於保護您的個人資料並提供您對個人資料的掌握。
按一下「全部接受」,代表您允許我們置放 Cookie 來提升您在本網站上的使用體驗、協助我們分析網站效能和使用狀況,以及讓我們投放相關聯的行銷內容。您可以在下方管理 Cookie 設定。 按一下「同意」即代表您同意採用目前的設定,更多資訊請瀏覽 隱私權聲明

此網站使用了Cookies

依據歐盟施行的個人資料保護法,我們致力於保護您的個人資料並提供您對個人資料的掌握。按一下「同意」,代表您允許我們置放 Cookie 來提升您在本網站上的使用體驗、協助我們分析網站效能和使用狀況,以及讓我們投放相關聯的行銷內容。

按一下「僅必需的」,代表您只允許我們置放必要的 Cookie。網站運行離不開這些 Cookie 且您不能在系統中將其關閉。通常僅根據您所做出的操作(即服務請求)來設置這些 Cookie,如設置隱私偏好、登錄或填充表格。您可以將您的瀏覽器設置為阻止或向您提示這些 Cookie,但可能會導致某些網站功能無法工作。

關於Cookie 谷歌隱私權政策